2022广西公务员行测解题技巧-利用方程巧解浓度难题
在公务员考试行测中,数量关系的很多题目中我们只要善于抓住题干中的核心等量关系,然后列方程求解,往往可以使题目变得简单化。
相关文章
基本含义
浓度问题研究的是溶质、溶剂和溶液三者之间的关系。例:500克浓度为40%的盐水,其中溶质为盐,溶剂为水,盐的质量和水的质量之和为盐水的溶液质量,其质量为500克。如果水的量不变,那么盐加得越多,盐水就越咸,盐水咸的程度是由盐(溶质)与盐水(溶液=盐+水)二者量的比值决定的。浓度就是溶质的量与溶液的量的比值,通常用百分数表示。
基本公式
在做题过程中,通常忽略掉溶液之间的化学反应,将混合后的溶液质量(或体积)等于混合前的溶液质量(或体积)相加;混合后的溶质质量(或体积)等于混合前的溶质质量(或体积)相加。
例1:某饮料店有纯果汁(即浓度为100%)10千克,浓度为30%的浓缩还原果汁20千克。若取纯果汁、浓缩还原果汁各10千克倒入10千克纯净水中,再倒入10千克的浓缩还原果汁,则得到的果汁浓度为( )。
A.40%
B.37.5%
C.35%
D.30%
【解析】A。由题干描述可知,混合后果汁总量,即溶液为40千克,其中纯果汁含量为10+30%×20=16千克,则得到果汁的浓度为:
,故答案选A。
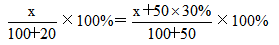
例2:有两瓶质量均为100克且浓度相同的盐溶液,在一瓶中加入20克水,在另一瓶中加入50克浓度为30%的盐溶液后,它们的浓度仍然相等,则这两瓶盐溶液原来的浓度是( )。
A.36%
B.64%
C.50%
D.60%
【解析】D。由题干描述可知,两瓶溶液经过不同的方式混合后,其浓度仍然相等,可据此建立等量关系。设两瓶盐溶液原来浓度为x%,则它们的含盐量为x,根据题意有:
,解得x=60,即原来浓度为60%,故答案选D。
如果你想报考广西区考,备考之路可以开启了。注意:公考竞争一年比一年激烈,高分入面等情况数不胜数。想要顺利“上岸”,优秀的复习教材是必不可少的——2022年广西公务员考试教程(免费赠送130+课时知识点精讲,18000道题在线刷题、200套真题在线模考),讲解清晰,指导明确,无线刷题,为考生上岸之路保驾护航。
点击分享此信息:
相关文章





